Volume 7 Issue 1
Bioassay study of pendimethalin in wheat-Polygonum association under terai agro-ecological region of West Bengal
Author(s): S. RAHAMAN AND P. K. MUKHERJEE
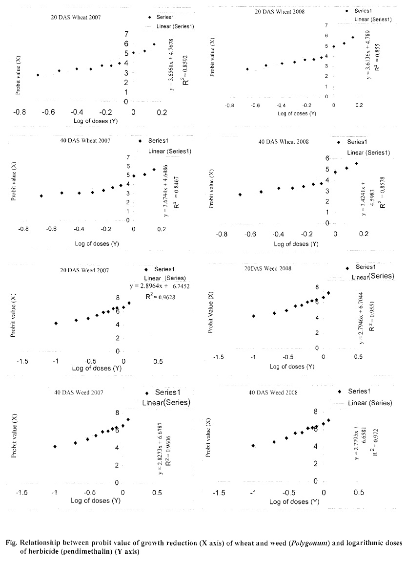
Abstract: A field experiment was carried out during the rabi season of 2007 and 2008 in Cooch Behar, West Bengal, India, involving application of pendimethalin at 0.00, 0.20, 0.30, 0.40, 0.50, 0.60, 0.70, 0.80, 1.00, 1.20 and 1.40 kg/ha to wheat and at 0.00, 0.10, 0.20, 0.30, 0.40, 0.50, 0.60, 0.70, 0.80, 1.10 and 1.20 kg/ha to weeds (Polygonumspp. including P. persicaria [Persicaria maculosa], P. pensylvanicum [Persicaria pensylvanica], P. orientale [Persicaria orientalis] and P. odoratum). The phytotoxic effect to the wheat plant was manifested with characteristic yellowing and necrotic symptom, which appeared within 8-10 days after sowing (DAS) in newly emerged seedlings. This was followed by death of seedlings within 12-15 DAS. The selectivity index (SI) value of pendimethalin for wheat-Polygonum association was 1.06 and 1.03 at 20 DAS during 2007 and 2008, respectively, in which the GR10 (dose that caused 10% growth reduction) values of wheat were 0.516 and 0.505 kg/ha and the GR80(dose that caused 80% growth reduction) values of weeds were 0.488 and 0.491 kg/ha during 2007 and 2008, respectively. At 40 DAS, the SI values were 1.08 and 1.1, in which the GR10 values of wheat were 0.544 and 0.553 kg/ha and the GR80 values of weeds were 0.506 and 0.503 kg/ha during 2007 and 2008, respectively. Pendimethalin at 0.50 kg/ha could be effective to achieve >80% weed control efficacy in wheat without showing any phytotoxic effect to wheat under terai agro-ecological region of West Bengal and it could help the poor farmers to reap maximum benefit by saving their crop from severe crop-weed competition.

Download Full Article : Click Here