Volume 7 Issue 1
Absorption of photosynthetically active radiation (PAR) and its effect on
yield and dry matter production of rice at different dates of transplanting
Author(s): S.KDUITA, D.FANGZAUV A, .JENA, RNATII, D.MAZUMDERANDp,KCHAKRABORIY
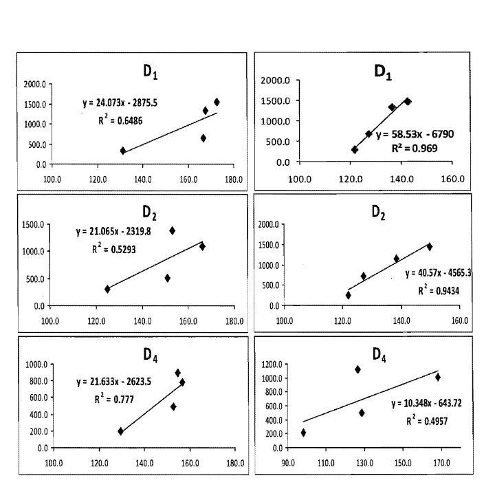
Abstract:A two year experiment was conducted on rice (Var. Satabdi) at the C-Block Farm (Incheck), B.C.K.V, W.B. (Lat 22°56′ N; long 88°E), during 2007 and 2008 kharif seasons. The crop was transplanted on 5 dates (D1 - 6th July, D2 - 13th July, D4 - 27th July and D5 - 3rd August). The Absorbed Photosynthetically Active Radiation (APAR), total dry matter production at tillering, panicle initiation, panicle emergence and 50% anthesis were recorded. The results showed that absorption of PAR was high under D1 or D2 transplanting. The dry matter accumulation was the highest under D1 transplanting; and reduced with the delay in transplanting. Both the dry matter accumulation and grain yield were significantly affected by the absorption of PAR. Absorption of PAR at tillering and panicle initiation was positively related to yield production and 36 and 65 percent of yield variation due to PAR absorption could be explained in two years of experiment.

Fig: Relationship between dry matter production and absorbed PAR on different dates of
transplantine.
Download Full Article : Click Here