Volume 8 Issue 2
Effect of gamma radiation on mutagen sensitivity and
mutability in field pea (Pisum sativum L.)
Author(s): A. PAUL AND P. MONDAL
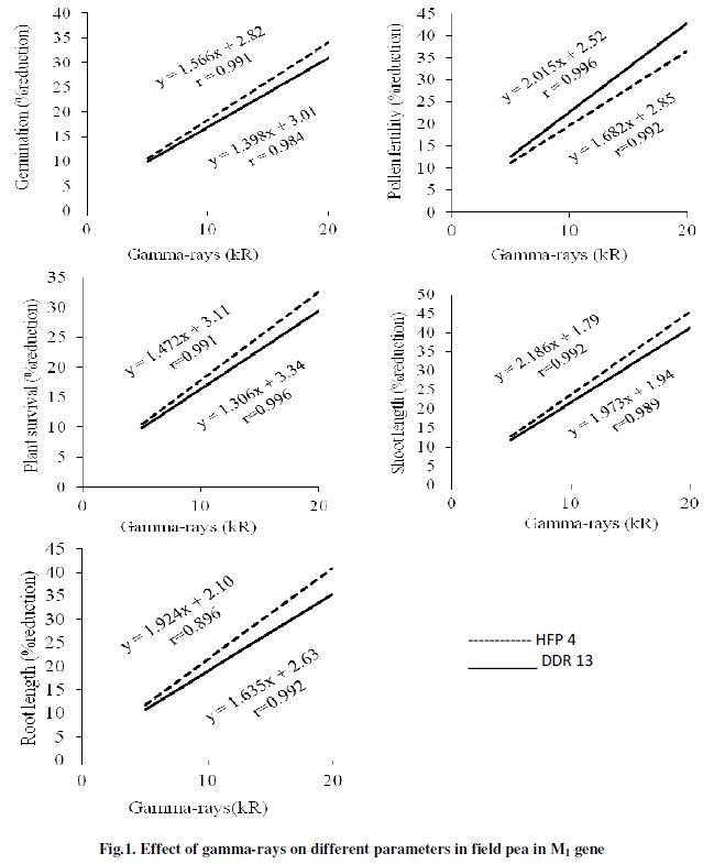
Abstract: A study was conducted in Pantnagar, Uttarakhand, India, in three consecutive rabi seasons to investigate the mutagen sensitivity in two high-yielding cultivars of field pea, namely HFP4 and DDR13. The similarities or differences between the genotypes with regards to radio-sensitivity, radio-mutability and the relationship between mutagen sensitivity and mutability following gamma treatment (at 5, 10, 15 and 20 kR) to those bold-seeded field pea cultivars were determined. Data were recorded on germination, pollen fertility, survival at maturity, root length, shoot length, chlorophyll ant other morphological mutations.

Download Full Article : Click Here